当前位置:肿瘤瞭望>资讯>快讯>正文

ASCO-GU中国之声丨黄吉炜教授:替雷利珠单抗用于高危上尿路尿路上皮癌术前新辅助治疗的疗效探索

作者:肿瘤瞭望   日期:2024/2/4 10:52:52  浏览量:9265

肿瘤瞭望版权所有,谢绝任何形式转载,侵犯版权者必予法律追究。

美国临床肿瘤学会泌尿生殖系统肿瘤研讨会(ASCO-GU)已经成功举行。本次大会精彩纷呈,多项重磅研究成果惊艳亮相,众多泌尿肿瘤领域专家学者汇聚一堂,共襄这一泌尿肿瘤领域的年度盛事。在本次的ASCO-GU大会上,由上海交通大学医学院附属仁济医院薛蔚教授、黄吉炜教授团队开展的一项替雷利珠单抗用于高危上尿路尿路上皮癌患者术前新辅助治疗的前瞻性II期临床研究结果成功入选。本刊特邀黄吉炜教授介绍研究细节,并进行点评。

编者按:美国临床肿瘤学会泌尿生殖系统肿瘤研讨会(ASCO-GU)已经成功举行。本次大会精彩纷呈,多项重磅研究成果惊艳亮相,众多泌尿肿瘤领域专家学者汇聚一堂,共襄这一泌尿肿瘤领域的年度盛事。在本次的ASCO-GU大会上,由上海交通大学医学院附属仁济医院薛蔚教授、黄吉炜教授团队开展的一项替雷利珠单抗用于高危上尿路尿路上皮癌患者术前新辅助治疗的前瞻性II期临床研究结果成功入选。本刊特邀黄吉炜教授介绍研究细节,并进行点评。
 
研究背景
 
上尿路尿路上皮癌(UTUC)是一种相对少见的恶性肿瘤,在尿路上皮癌中约占5-10%[1]。在我国,UTUC的患者比例高于国外,在总体尿路上皮癌患者中约占9%~30%。由于UTUC发病隐匿,与膀胱癌相比,UTUC在初诊时一般肿瘤分期较晚。据统计,大约50%~70%的UTUC患者在初诊时已经出现肿瘤肌层浸润,而在膀胱癌患者中,这一数字仅为25%[2]。对于非转移性高危UTUC患者,根治性肾输尿管切除术联合局部淋巴结清扫术是目前的标准治疗方式。然而,部分患者接受根治性手术后生存预后仍不理想,pT3、pT4以及淋巴结转移患者5年的肿瘤特异生存率分别为54%、12%和35%[3],因而高危UTUC患者仍需要通过围术期系统治疗消除潜在的微转移灶,降低术后肿瘤复发的风险。
 
POUT研究是目前唯一一项探索UTUC患者围术期治疗疗效和安全性的III期临床研究,研究结果显示术后辅助铂类化疗相较主动监测能够显著减低UTUC患者根治性手术后肿瘤复发风险[4],然而,UTUC患者容易出现肾功能损伤,限制了铂类化疗在术后辅助治疗中的使用。而新辅助化疗虽然已成为肌层浸润性膀胱癌的标准治疗方案,但在UTUC患者中,仍有近一半患者无法耐受顺铂化疗,对于这部分患者仍需寻找有效的替代治疗方案。
 
随着免疫时代的到来,新辅助免疫治疗在肌层浸润性膀胱癌的初步探索中取得了积极的结果,但在UTUC新辅助治疗中的疗效仍不明确。基于此,薛蔚教授、黄吉炜教授及其团队开展了一项替雷利珠单抗新辅助治疗高危UTUC患者的单中心、单臂临床研究,旨在进一步探索免疫治疗在高危UTUC患者的疗效和安全性。
 
研究设计
 
该研究纳入人群为高危UTUC患者,研究中对于高危UTUC的定义为通过输尿管镜下活检或尿脱落细胞检查明确为病理高级别尿路上皮癌,或影像学检查示肌层浸润征象,或存在肾积水,同时患者需满足顺铂不耐受标准。入组患者至多接受4个周期新辅助替雷利珠单抗治疗,新辅助治疗期间患者每2个周期治疗完成后需接受影像学检查,包括增强MRI或增强CT检查。在新辅助治疗结束后,患者接受手术治疗,推荐手术治疗方式为根治性肾输尿管切除术联合局部淋巴结清扫,对于肿瘤位于远端输尿管患者可接受输尿管部分切除术,对于新辅助治疗后评估为低危UTUC患者可接受内镜下肿瘤消融手术。研究的主要终点为病理完全缓解率(pCR,定义为ypT0N0),次要终点包括病理缓解率(≤ypT1N0),客观缓解率(ORR),安全性。
 
图1.研究设计
 
研究结果
 
自2021年03月至2022年09月,研究共入组16名患者,中位年龄65岁(46-71),13名患者为男性,75%患者为cT3-cT4,4名患者在初诊时存在局部淋巴结转移。所有入组患者均接受了2个周期新辅助替雷利珠单抗治疗,有7名患者未完成全部4个疗程治疗。9名患者接受了根治性肾输尿管切除术,1名患者接受了内镜下肿瘤消融,3名患者接受了输尿管部分切除术。另有3名患者因疾病进展或不良反应拒绝手术治疗。
 
研究中位随访时间25个月(10-31),术前影像学评估时,6名患者达到cPR(37.5%),7名患者达到cSD(43.8%),3名患者为cPD(18.7)。
 
图2.肿瘤缓解蜘蛛图(A)和瀑布图(B)
 
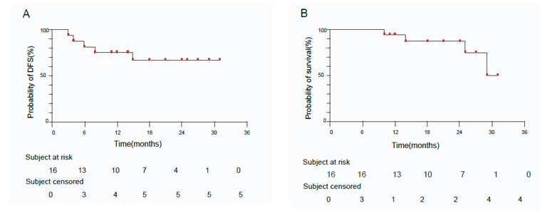
术后病理结果显示,4名患者达到pCR(25%),7名患者达到病理缓解(≤ypT1N0),中位无病生存期和中位总生存期均未达到。研究中3/4级治疗相关不良事件发生率为18.8%,未见新的安全性信号。
 
图3.无病生存期(A)和总生存期(B)
 
研究结论
 
本项研究结果初步显示,替雷利珠单抗用于高危UTUC患者术前新辅助治疗疗效积极,安全性良好,可能成为顺铂不耐受高危UTUC患者术前新辅助治疗的替代选择。
 
专家述评
 
一直以来,UTUC的低发病率给临床研究的开展带来了巨大挑战。目前UTUC的系统性治疗方案多是从膀胱癌中推导而来,但由于UTUC患者常出现肾功能损害,限制了传统铂类化疗在这部分患者中的使用。本中心既往的一项真实世界回顾性临床研究显示[5],PD-1抑制剂与卡铂方案化疗用于一线治疗晚期顺铂不耐受UTUC患者的疗效相当。在客观缓解率(ORR)方面,接受PD-1抑制剂治疗的患者ORR为38.6%,并且PD-L1高表达患者的ORR可达到46.2%,对于重度肾功能损伤eGFR小于30 ml/min的患者,PD-1抑制剂也展现出良好的耐受性以及不错的疗效。基于前期的探索经验,我中心进一步探索了免疫治疗用于高危UTUC术前新辅助治疗的疗效,并取得了积极的结果,这一结果也提示免疫治疗可以为临床中这部分不能耐受顺铂治疗的高危UTUC患者提供更多的围术期治疗方案选择。
 
黄吉炜教授
上海交通大学医学院附属仁济医院
泌尿科西院区一病区主任副主任医师,硕士生导师,医学博士
美国哈佛大学医学院麻省总医院(MGH)博士后
中华医学会泌尿外科分会全国青委会微创学组委员
中国临床肿瘤协会尿路上皮癌专家委员会委员
中国医师协会上尿路尿路上皮癌(UTUC)联盟秘书
中国医师协会肾癌协作组成员
中华医学会上尿路尿路上皮癌及中国临床肿瘤协会尿路上皮癌指南执笔专家
国家医疗先行试验区海南博鳌乐城罕见病专家联盟专家
《中华肿瘤杂志》、《现代泌尿外科杂志》编委
《JCO泌尿生殖系统肿瘤专刊中文版》青年编委会委员
中国性学会泌尿外科学分会委员
中国技术市场协会医疗器械科技创新专业委员会委员
擅长肾肿瘤及UTUC诊疗,年独立完成肾输尿管肿瘤手术超700例次。
主持国家自然基金课题及上海市级课题5项,其他课题数项,以第一作者或通讯作者发表SCI论文30多篇,单篇最高影响因子超20分,总IF超过200分
从2015年开始先后10余次在EAU,AUA,ESMO等国际大会上进行学术报告
 
参考文献
 
[1]Siegel RL,et al.CA Cancer J Clin 2021;71(1):7-33.
 
[2]Colla Ruvolo C,et al.Eur Urol Oncol 2021;4(5):792-801.
 
[3]Margulis V,et al.Cancer 2009;115(6):1224-33.
 
[4]Birtle A,et al.Lancet 2020;395(10232):1268-77.
 
[5]Jiwei Huang,et al.Oncoimmunology.2022 Sep 17;11(1):2124691.

 

 

本内容仅供医学专业人士参考


尿路上皮癌

分享到: 更多